prev
01
02
03
04
05
06
07
08
09
10
11
12
13
14
15
16
17
18
19
20
21
22
23
24
25
26
27
28
29
30
31
next
Previous Monthprev 前事不忘,后事之师.
农历不同于阴历和阳历,是阳历合历。是以月亮的运行规律为主(一年十二月,十五的月亮十六圆),以太阳的运行规律为辅(24节气,春分、秋分,分,昼夜平分;夏至、冬至,至,至顶、至长,夏至夏日至长,冬至冬夜至长)。
以阳光为序,赴岁月清欢。心中有阳光,风雨终会落幕,彩虹自会铺展。生命在淬炼中成长,怀揣希望便能一路生香。放下过往,从容前行,岁月自会清浅安然,满径芬芳。
农历节日(农历月、日→公历月、日):2019.7,2003.1、2,2022.1、2、3(1月1号是11.29)
道生一,一生二,二生三,三生万物。万物负阴而抱阳,冲气以为和。
Toady is 1st What you are going to do,do quickly.
1是氢的原子序数。
一帆风顺、二龙腾飞、三羊开泰、四季平安、五福临门、六六大顺、七星高照、八方来财、九九同心、十全十美、百福骈臻,千祥云集、万事如意
知行合一、一举两得、一心一意、一帆风顺、一如既往、一丝不苟、一表人才、一步登天、一劳永逸、一鸣惊人
一念生,万物序
f'(1/x)=ln|x|
Toady is 2nd Be nice to people on your way up because you'll meet them on your way down.
2是氦的原子序数。
二龙腾飞、两全其美、两小无猜、两袖清风
二进制(Binary System)是一种以2为基数的数制,只使用两个数字符号:0和1,每个数字称为一个比特(Bit,Binarydigit的缩写)。二进制概念最早由莱布尼茨在1703年系统阐述,并受到《易经》阴阳思想的启发。19世纪布尔代数的建立为其提供了逻辑基础。19世纪中期,英国数学家乔治·布尔(George Boole)提出了布尔代数,并在其代数中系统地应用了“真与假”的思想(即0与1)。1937年,克劳德·艾尔伍德·香农在他的硕士学位论文《A Symbolic Analysis of Relay and Switching Circuits(继电器和开关电路的符号分析)》中,科学、严谨地论述了如何使用布尔代数对继电器电路进行分析和合成。20世纪以来,随着电子计算机的发展,二进制成为所有数字设备的通用机器语言,贯穿于数据表示、存储、运算与通信的全过程。
Toady is 3rd Something to face,to persevere,to change.
3是锂的原子序数。
三羊开泰、三思而行、三头六臂、三言两语
拿破仑定理(Napoleon's Theorem),又称拿破仑三角形:以任意三角形的每条边为边,向外构造三个等边三角形,则这三个等边三角形的外接圆中心形成一个等边三角形,称为拿破仑三角形;若向内构造等边三角形,结论也同样成立。
Toady is 4th Time flies.
4是铍的原子序数。
四季平安、四海为家、四通八达、四平八稳、四海升平
1 − 2 + 3 − 4 + … = (1 − 1 + 1 − 1 + …)/4。
正四面体(由四个全等的等边三角形组成):
Toady is 5th Jack of all trades, master of none.
5是硼的原子序数。
五福临门、五湖四海、五花八门、五颜六色、五体投地、五脏六腑、五谷丰登、五彩缤纷、五光十色
仅有的五种正多面体,即是正四面体、正六面体、正八面体、正十二面体和正二十面体。
五行:木、火、土、金、水
五谷:米、麦、粟、黍、豆
五味:酸﹑甜﹑苦﹑辣﹑咸
五金:金、银、铜、铁、锡
五岳:东岳泰山,西岳华山,南岳衡山,北岳恒山,中岳嵩山
五经:《易》、《尚书》、《诗》、《礼》、《春秋》
五帝:黄帝、颛顼、帝喾、尧、舜
五大洋:太平洋、大西洋、印度洋、南冰洋、北冰洋
五毒:五毒是指蝎子、蛇、壁虎、蜈蚣、蟾蜍
五感:视觉、听觉、嗅觉、味觉、触觉
五带:热带、南温带、北温带、南寒带、北寒带
五体:骨、筋、脉、肉、皮
五官:眼、耳、口、鼻、舌
五脏:心、肝、脾、肺、肾
Toady is 6th Look before you leap.
6是碳的原子序数。
六六大顺
正六面体(由六个全等的正方形组成):
Toady is 7th Knowledge is power.
7是氮的原子序数。
七星高照、七零八落、七拼八凑、七上八下、七手八脚、七嘴八舌、七窍生烟、七情六欲
移动拼板一般将图案划分成若干份,常见的是9格和15格。空出的一格,使得方块的上下左右移动。玩法很简单,将图案打乱,然后依照小图,移动方块,将图片重现组合,恢复原样。数字拼板也是同样原理。tangram:七巧板
1、2、3、4、5、6去除以7,它们都是无限循环小数。
一周七天:星的日期,分别是日、月、火、水、木、金、土。
七大洲:亚洲(Asia)、欧洲(Europe)、非洲(Africa)、北美洲(North America)、南美洲(South America)、大洋洲(Oceania)与南极洲(Antarctica)。
7色:赤、橙、黄、绿、青、蓝、紫。
七音符:Do、Re、Mi、Fa、Sol、La、Si。
七宗罪:傲慢(Pride)、贪婪(Greedy)、淫欲(Lust)、嫉妒(Envy)、饕餮(Gluttony)、暴怒(Wrath)和懒惰(Sloth)
北斗七星:天枢、天璇、天玑、天权、玉衡、开阳、摇光(瑶光)。
Toady is 8th Actions speak louder than words.
8是氧的原子序数。
八方来财、八面威风、八仙过海
八进制,Octal,缩写OCT或O,一种以8为基数的计数法,采用0,1,2,3,4,5,6,7八个数字,逢八进1。
正八面体(由八个全等的等边三角形组成):
Toady is 9th Easy come, easy go.
9是氟的原子序数。
九九同心、九霄云外、九九归一
帕普斯定理(Pappus's theorem):两直线上三点连线的三组交点共线;通过六条直线的交点共线条件构成判定法则。
Toady is 10th Blood is thicker than water.
10是氖的原子序数。
十全十美、十拿九稳
Marion's Theorem:当一个三角形的每条边被三等分,并从每个三等分点向对角顶点连线时,这些连线会在三角形内部形成一个六边形,而这个内接六边形的面积等于原三角形面积的1/10。
Toady is 11th All's fair in love and war.
11是钠的原子序数。
Toady is 12th Time and tide wait for no man.
12是镁的原子序数。
21/12:十二平均律(12-Tone Equal Temperament)又称十二等程律,是将八度音程分为12个半音,使各相邻两律波长之比相等的律制。
12进制:一年12个月;
正十二面体(由十二个全等的正五边形组成):
Toady is 13th Sloth,like rust,consumes faster than labor wears.
13是铝的原子序数。
传说耶稣受害前和弟子们共进晚餐的第13个人是耶稣的弟子犹大。就是这个犹大为了30块银元,把耶稣出卖给犹太教当局,致使耶稣受尽折磨。参加最后晚餐的是13个人,晚餐的日期恰逢13日,“13”给耶稣带来苦难和不幸。从此,“13”被认为是不幸的象征。“13”是背叛和出卖的同义词。
佛教里面的13代表吉祥、高贵、圆满,有的佛塔就是13层。中国联通、移动的电话号码最初也是以13开头。
Toady is 14th Better late than never.
14是硅的原子序数。
minimal triangulation of a torus:
豆蔻之年已渐逝,始终不及及笄年(打一数字)
Toady is 15th Early to bed and early to rise,makes a man healthy,wealthy and wise.
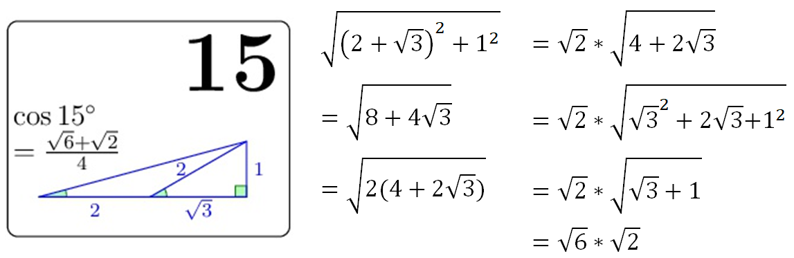
15是磷的原子序数。

Toady is 16th One today is worth two tomorrow.
16是硫的原子序数。
16进制(Hexadecimal):一个十六进制数位(0-15,对应0-F)恰好可以用四位二进制表示。20世纪计算机发展初期,8位二进制数据表达冗长易错,十六进制(4位二进制对应1位十六进制)成为更高效的编码方式。
Toady is 17th It is no use doing what you like;you have got to like what you do.
17是氯的原子序数。
高斯于1798年用尺规作图画出正十七边形
Toady is 18th When work is a pleasure,Life is joy!When work is duty,Life is slavery.
18是氩的原子序数。
《水浒传》中的十八般武器:矛、锤、弓、弩、铳、鞭、锏、剑、链、挝、斧、钺、戈、戟、牌、棒、枪、扒。
高尔夫球场一般都有18个球洞。
Toady is 19th Nothing is impossible for a willing heart.
19是钾的原子序数。
3阶六角幻方每条直线上圆圈中数字的和为38。
19个回归年与235个朔望月时长相近的原理,采用十九年置七闰的方法调节阴阳历法。是由古希腊天文学家默冬于公元前432年提出的历法周期(Metonic cycle),用于协调回归年与朔望月的差异。中国古代历法中与之相似的周期称为“章”,《周髀算经》记载“十九岁为一章。”
第二个Repunit数由19个单位数1构成。
Toady is 20th If a thing is worth doing,it is worth doing well.
20是钙的原子序数。
爱尔兰数学家威廉·罗文·哈密尔顿 (William Rowan Hamilton, 1805-1865) 发明了“Icosian game”。
找到一条通过十二面体的每个顶点(共20个顶点)仅一次, 且在同一点开始和结束的路线。
正二十面体(由二十个全等的等边三角形组成):
将任意三阶魔方打乱后,最小还原步数究竟是多少?这一问题困扰了数学家长达三十多年,这个最小还原步数也被称为“上帝之数”。美国加利福尼亚州科学家近日利用计算机破解了这一谜团,他们证明任意组合的魔方(三阶魔方有43,252,003,274,489,856,000(约合4.3×10的19次方)种不同的可能组合状态)均可以在20步之内还原。因而,上帝之数=20
Toady is 21st Nothing great ever was achieved without enthusiasm.
21是钪的原子序数。
A "simple" squared square is one where no subset of the squares forms a rectangle or square, otherwise it is "compound".
最小的完美正方形分割数:
21点,又名黑杰克(Blackjack),起源于法国,是一种使用除大小王外的52张牌的扑克牌游戏,目标为手牌点数不超过21点且尽量大。该游戏约1700年出现于法国赌场,1931年随美国内华达州赌博合法化进入赌场并取代掷骰子游戏,1957年首次登陆亚洲香港。随着互联网发展,二十一点逐渐转向线上模式。游戏由2-6人参与,A牌可计为1或11点,玩家通过拿牌、停牌、双倍下注等操作争取最优点数,爆牌或点数低于庄家即告负,黑杰克(A+10/J/Q/K)为特殊牌型。
Toady is 22nd The sooner, the better.
22是钛的原子序数。
22! is 22 digits long.
中国男性的法定结婚年龄。
在中文口语当中,经常使用22代指说明某人很傻很天真。
Toady is 23rd TV has its merits and demerits.
23是钒的原子序数。
中国有23个省(不包括自治区、直辖市),5个自治区、4个直辖市和2个特别行政区,总计34个省级行政区。河北省、山西省、吉林省、辽宁省、黑龙江省、陕西省、甘肃省、青海省、山东省、福建省、浙江省、台湾省、河南省、湖北省、湖南省、江西省、江苏省、安徽省、广东省、海南省、四川省、贵州省、云南省。内蒙古自治区、新疆维吾尔自治区、宁夏回族自治区、西藏自治区、广西壮族自治区。北京、上海、天津、重庆。
Toady is 24th All happy families resemble one another,each unhappy family is unhappy in its own way.
24是铬的原子序数。
24节气:中国的农历以月亮的周年活动规律为主,辅之以太阳的周年活动规律(24节气)。立春、 雨水、惊蛰、春分、清明、谷雨;立夏、小满、芒种、夏至、小暑、大暑;立秋、处暑、白露、秋分、寒露、霜降;立冬、小雪、大雪、冬至、小寒、大寒。
24的因数包括1、2、3、4、6、8、12、24,是拥有8个因数的最小自然数。
24点游戏是从一副扑克牌中随意抽取4张,用四则运算和括号计算出24点。J、Q、K分别视为11、12、13点。在没有大小王的情况下,A既可以视为1点,也可以视为14点,习惯于视为1点。但在有大小王的情况下,A只能视为1点,而不能视为14点。通常将小王视为14点,大王视为15点,或无视大王和小王。
Toady is 25th April showers bring May flowers.
25是锰的原子序数。
以25结尾的数相乘时,乘积末两位仍为25(如2525×2525=6375625),该特性称为自守数。
Toady is 26th An army of stags led by a lion would be more formidable than one of lions led by a stag.
26是铁的原子序数。
Toady is 27th Ask not what your country can do for you;ask what you can do for your country.
27是钴的原子序数。
Toady is 28th Better the last smile than the first laughter.
28是镍的原子序数。
Coxeter图(Coxetergraph)是图论中的一个特殊图,它是一个具有高度对称性的非哈密顿图的例子,这意味着图中不存在一条经过每个顶点恰好一次的回路(哈密顿回路)。
此外,Coxeter图也是数学猜想“存在从任一长为3的路径到另一任意路径的自同构”的一个反例。
该图的顶点数为28,边数为42,其谱(特征值)为:27、10、1、-1、-3、-5,对应的重数分别为1、7、27、21、35、15。
二十八星宿。
一个人通常有28颗牙齿(不包括智慧齿在内)。
Toady is 29th Beware of the man of one book.
29是铜的原子序数。
Toady is 30th As chaste as ice,as pure as snow.
30是锌的原子序数。
Toady is 31st Clothes make the man.
31是镓的原子序数。
Next Monthnext 凡事预则立,不预则废!
32是锗的原子序数。
